https://www.youtube.com/watch?v=_a3GwoPK3tM
양자 현상의 본질 이해
양자 현상(Quantum phenomena)가 무엇인가?
>> 에너지나 전하와 같이 연속적일 것으로 생각했던 물리적인 값들이 사실은 불연속적인 덩어리의 합으로 존재하고, 이들 간의 중첩이나 간섭 현상 등으로 인해 직관적이지 않은 결과들이 발생하는 현상
양자(Quantum)이라는 표현 자체는 '불연속적'이라는 의미에서 왔지만, 따라오는 부수적 효과인 중첩과 간섭때문에 직관적이지 않는 결과들이 발생함.
양자화(Quantization)
>> 연속적인 아날로그 값을 불연속적인 디지털 값으로 근사화시키는 과정
우리가 사는 아날로그 세계의 연속적인 값을 컴퓨터가 처리하기 위해 불연속적인 디지털 값으로 바꾸는 과정

- 양자 현상은 최소 입자(쿼크 등)와는 상관없는 현상이다.
- 양자 현상은 모든 현상에서 일어난다.
- 우리가 자동차 움직임 등을 뉴턴 역학으로 계산하지만, 이는 양자역학의 근사일 뿐이며, 모든 현상은 양자역학으로 설명되어야 한다고 믿어진다.
- 빛을 포함한 이 세상을 구성하는 모든 입자들이 양자 현상을 따른다.
- 하지만, 일상생활에서는 인간의 인지 능력의 한계로 개별 입자의 성질은 관측할 수 없고, 무수히 많은 입자들의 평균값만을 관찰하게 되어 중첩이나 간섭 현상과 같은 성질이 직관적이지 않게 느껴진다.
질량을 가진 물질 이외에도 양자 현상이 아주 잘 일어나는 부분이 빛이다. 우리가 사용하는 모든 빛은 양자 현상을 가진다.
직관이란 매우 상대적인 것이다. 예를 들어 우주 정거장에서 중력을 못 느끼고 자란 사람은 중력이 비직관적일 수 있지만, 지구에서 태어나느 사람은 중력이 직관적이라고 생각하는 것과 같다.
양자역학이 이상하게 느껴지는 것은 단지 우리가 관측할 수 있을 정도로 정밀하게 느끼지 못하는 구조이기 때문이다.
관찰하지 못했다고 해서 직관적이지 않다는 말은 의미가 없다.
중첩과 간섭의 이해

고전적 현상과 양자 현상을 구분할 좋은 예로 연못 메모리를 생각해보자.
고전적인 메모리의 경우 0 또는 1이라는 두 가지의 정보만 가질 수 있다. 연못에 돌을 떨어뜨리는 행위로 비유할 때, 0을 원하면 A 지점에, 1을 원하면 B 지점에 돌을 떨어뜨리는 방식으로 정보를 저장할 수 있다. (동시에는 떨어뜨릴 수 없다.)
양자적인 메모리의 경우 동시에 돌을 떨어뜨릴 수 있는 옵션이 생긴 것으로 생각할 수 있다.
만약 A 지점과 B 지점에서 동시에 물결이 퍼지면, 만나는 지점에서 물결이 서로 더해져 커지거나 상쇄되어 없어지기도 하는데, 이를 간섭이라고 한다.
그리고 물결들이 동시에 존재할 수 있다는 사실 그 자체가 중첩이다.
두 개의 물결파가 같은 공간에서 동시에 퍼지고 한 장소에서 두 개의 물결파의 영향을 동시에 받듯이 하나의 메모리 안에 0에 관련된 정보와 1에 관련된 정보를 동시에 저장도 가능하다.
⇢ 양자 병렬 연산
중첩이 가능하다는 것은 한 번에 정보가 두 개 존재하는 것처럼 해석할 수 있음을 의미하며, 정보 처리를 할 때 한 번에 하나씩이 아니라 동시에 여러 가지를 처리하는 병렬 처리처럼 활용할 수 있다는 것이다.
거꾸로 이러한 양자 상태를 현재의 컴퓨터에 저장하고 그 결과를 계산하는 것은 매우 비효율적이다.
⇢ 양자 시뮬레이션
0과 1일 동시에 존재하는 상황(중첩)을 컴퓨터로 동시에 다루는 것은 리소스가 많이 드는 작업이다.
신약 개발 등 화학 계산 같은 것도 모두 양자역학적인 이유로 발생하는데, 고전 컴퓨터로 이를 계산하는 것은 매우 비효율적이다.
전 세계의 슈퍼컴퓨터의 CPU 시간 50% 이상이 양자역한 관련 개발에 사용되고 있다.

이러한 중첩을 나타내거나 기술할 때 벡터의 개념을 사용하며 따라서 선형대수가 중요하다.
두 개의 직교하는 베이스(0과 1)가 있을 때 0의 비중이 클 수도 있고 1의 비중이 클 수도 있는데, 이를 앞에 붙이는 계수의 크기로 나타낼 수 있다.
고전 컴퓨팅의 한계와 양자 정보의 필요성

반도체의 선폭은 점점 줄어들고 있다.
선폭이 줄어들어서 10나노미터 이하가 되면 실제 원자 개수를 따질 수 있는 수준이 된다.
기존 반도체 모델의 경우 무수히 많은 원자로 이루어져 있다는 가정 하에 양자역학적으로 설명했는데, 선폭이 줄어들어서 이 가정이 맞지 않게 되면서 문제가 생길 수 있다.
계산하지 못하거나 예측하지 못하는 부분을 노이즈로 분류하는데 이러한 노이즈를 양자역학적으로 예측할 수 있게되고 계산할 수 있게 된다면 더 이상 노이즈가 아니라 정보가 된다.
이러한 정보를 어떻게 잘 활용할지 고민하는 분야가 바로 양자정보이다.
양자 정보 기술의 특징
- 양자 상태의 중첩(superposition) 현상을 활용해 0과 1의 중첩을 저장함으로써 기존 정보처리 방식의 한계를 극복한다.
- Qubit(Quantum bit) : 양자 정보의 기본 단위로, 두 양자 상태의 중첩으로 표현한다.

$|\psi\rangle = \alpha|0\rangle + \beta|1\rangle$
$\alpha, \beta$는 복소수이고, $|\alpha|^2+ |\beta|^2 = 1$
1. Superposition
- 두 양자 상태가 확률적으로 동시에 존재한다.
2. Entanglement
- 2개 이상의 입자의 다양한 양자 상태가 동시에 중첩 가능하다.
3. Fragility
- 양자 상태는 측정과 동시에 한 상태로 결정된다.
4. No Cloning
- 양자 상태는 복제가 불가능하다.
양자 중첩(Superposition)
중첩을 설명하기 위해서 빛의 편광을 일상생활에서 가장 대표적인 예시로 사용한다.
빛의 편광

- 빛은 전자기파의 일종으로 공기중에서 전파시 전기장이 한쪽 축 방향으로만 진동을 한다.
- 전자기파가 Z축을 따라서 전파될 때, 전기장이 진동하는 방향을 편광이라고 한다.
- 수직 또는 수평 방향으로 진동할 수 있다.
편광의 분해

- 편광을 이용하여 수평 편광을 0, 수직 편광을 1로 약속해서 광자를 하나씩 보내는 방식으로 디지털 통신을 할 수 있다고 하자.
- 고전적인 방법으로 누군가 정보를 측정하더라도 정보가 변하지 않기 때문에 도청이 가능하다.
- 즉, 보낸 광자가 수평 편광(0)이면 받는 쪽에서 편광판을 틀어도 측정 결과는 0으로 나온다.

- 양자 상태는 측정만 해도 값이 변할 수 있다.
- 만약 수평(0)으로 보냈지만, 측정할 때 편광판을 수평/수직이 아니라 45도를 돌려서 측정한다고 가정해보자.
- 수평 상태의 경우 방향이 다른 45도 편광의 중첩으로 해석할 수 있다.
- 그 결과 처음에는 수평(0)으로 보냈음에도 불구하고 1(수직)로 측정되는 경우가 존재하게 된다.
- 중첩이 가능하기 때문에 이러한 현상이 발생할 수 있는 것이다.
양자 상태 측정의 확률적 특성
양자 메모리라는 것을 정의한다고 하면 양자 메모리는 0 또는 1만 가지는 것이 아니라 0과 1의 중첩을 가질 수 있다.
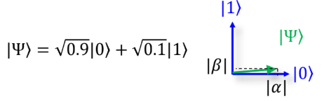
그러면 메모리에 저장된 정보는 보통 2차원 벡터 평면에 나타낸다.

상태가 0/1의 basis 벡터에 정확히 정렬되어 있으면 측정시 항상 0/1이 나온다는 의미다.

하지만 벡터가 45도로 되어 있을 경우, 고전적인 관점에서는 0.5가 나올 것 같지만 실제로는 0 또는 1 중 하나만 나오게 된다.

0애 가까운 벡터의 경우 측정 시 0이 나올 가능성이 높다고 얘기할 수 있다.
앞에 붙는 계수의 제곱에 해당하는 값이 해당 값이 나올 확률이다. 즉, 0에 대한 계수가 $\sqrt{0.9}$이고 1에 대한 계수가 $\sqrt{0.1}$이라면 0이 나올 확률은 90%, 1이 나올 확률은 10%이다.
따라서 벡터가 45도로 되어 있는 경우는 0과 1이 나올 확률이 반반이라고 할 수 있다.
빛의 편광 측정

빛은 무수히 많은 광자들로 이루어져있다.
85도짜리 편광 레이저가 들어온다면, 에너지 절반은 통과, 절반은 반사된다고 보았을 때 광자 개수로 보면 8개가 들어오면 4개과 통과하고 4개과 반사된다는 해석은 직관적이다.
광자의 편광 측정

하지만 광자 1개가 들어온다고 경우에는 광자는 더 이상 쪼개질 수 없는 단위이므로 반사되거나 통과되거나 둘 중 하나만 선택해야한다.
통과를 0으로 반사를 1로 본다면, 이 광자는 0 또는 1로 측정된다. 0.5라는 값은 나올 수가 없는 것이다.
이처럼 중첩이 가능하지만, 광자 측정의 경우 0 또는 1만 측정된다는 것을 설명할 수 있다.
양자 컴퓨터
양자 컴퓨터는 기존 정보처리장치에서 비효율적인 연산을 양자시스템의 고유한 성질을 활용하여 효율적으로 해결하는 장치로 고전 컴퓨터가 해결할 수 없는 다양한 문제를 해결하는 데 관심을 가진다.
양자 알고리즘은 주로 양자 회로의 형태로 표현된다.
양자 회로

- Qubit 선언 : 큐비트(메모리 역할)을 선언한다. 변수 선언하는 것과 유사한 단계이다.
- Reset : 정확한 초기 값을 정해야한다.
- 알고리즘 수행 : 입력에 따라 처리 룰에 의해 계산한다.
- 출력 : 마지막으로 각 큐빗에 남아있는 값을 측정한다.
양자 상태는 중첩인 경우가 많아서 고전적인 정보처럼 나타낼 수 없기 때문에 Bra-ket notation(브라켓 표기법)을 주로 사용한다.
2개 이상의 큐빗을 나타낼 때는 원칙적으로 tensor product로 표시하고 각 큐빗의 이름도 적어줘야 하지만, 편의상 생략할 경우가 많다.
양자 병렬 연산

고전 컴퓨터의 경우 2개의 입력 비트 회로의 결과를 알기 위해서는 4가지 조합(00,01,10,11)을 반복해야 모든 결과를 알 수 있다.
즉, 모든 가능한 입력에 대한 연산을 반복해야한다.

하지만, 양자 컴퓨터는 중첩이 가능하기 때문에 양자 병렬 연산이 가능하다.
양자 컴퓨터에서는 입력마저도 여러 가능성들의 중첩 상태로 넣을 수 있다.
이 중첩 상태를 회로에 넣으면 각각의 입력에 해당하는 출력들을 동시에 얻을 수 있다. 따라서 한 번에 4개의 입력에 대한 결과를 처리한 효과가 나타난다. 하지만 최종 결과를 측정하면 중첩된 결과들이 다 튀어 나오는 것이 아니라 그 중 하나만 확률적으로 나온다.
이와 같이 양자 상태의 측정시 중첩 상태가 붕괴되는 현상으로 인해서, 모든 결과를 얻는 것이 아니라 결과의 패턴 찾는 문제에 유리하다.
이러한 특성으로 양자 컴퓨터의 효과를 제대로 활용하기 위해서는 알고리즘부터 완전히 다른 관점으로 설계해야한다.
양자 컴퓨터 분류
1. 범용 양자 컴퓨터
- 회로 기반 양자컴퓨터로 불리며 주로 양자 게이트로 기술되는 양자 알고리즘을 수행한다.
- 양자 역학과 상관 없는 복잡한 계산 문제의 해결이 목표이다.
- 대부분의 양자컴퓨터 시스템 개발 회사들이 접근하는 방식이다.
2. 양자 시뮬레이터
- 복잡한 양자 역학 계산을 직접 수행하는 대신, 물리 현상을 그대로 흉내 내어 실험적으로 결과를 얻는 방법이다.
3. 단열 양자 컴퓨터 (Adiabatic quantum computer)
- 다른 양자 컴퓨터들과 완전히 다른 개념으로 만들어진 컴퓨터이다.
'Cryptography > Quantum Information' 카테고리의 다른 글
| [양자컴퓨팅 및 정보의 기초] Hermitian 행렬의 대각화, 선형 연산자의 함수, 미분방정식의 해, 양자역학 공리 I 소개 (0) | 2026.02.26 |
|---|---|
| [양자 컴퓨팅 및 정보의 기초] adjoint, Hermitian, unitary, 고유값 문제, 기저 변환 (0) | 2026.02.18 |
| [양자컴퓨팅 및 정보의 기초] 선형 벡터 공간, 내적, 선형 연산자 (0) | 2026.02.15 |